實驗室間比對是按照預先規定的條件,由兩個或多個實驗室對相同或類似被測物品進行檢測的組織、實施和評價的活動。能力驗證是利用實驗室間比對確定實驗室檢測能力的活動,是實驗室認可現場評審的重要補充,同時也是判斷和監督實驗室能力的重要、有效的手段。現著重討論Z比分數在實驗室能力驗證檢測中的評價應用。
一、Z比分數的構成
Z 比分數的構成公式為:

二、Z比分數的評價標準
(1) |Z|≤2,表明該實驗室的能力滿意。
(2) 2 < |Z| < 3 ,表明該實驗室存在問題,應鼓勵實驗室分析檢查其能力。
(3) |Z |≥3,表明該實驗室處于離群狀態,該實驗室的能力不滿意,應采取有效的糾正措施。
三、運用Z比分數應注意的問題
(1) 指定值X的選擇指定值的確定最常用的程序是依次使用下列各測定值;已知值、有證參考值、參考值、特定實驗室的公議值、參加實驗室的公議值。上述次序指定值的不確定度是逐漸加大的,其中參加實驗室的公議值結果在計算前應先剔除離群值,一般用均值、中位值計算。
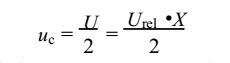
(2)變動性度量 s 的選擇變動性度量常用標準差、相對標準差、百分位和中位值的偏差或其他穩健度量(如合成標準不確定度 uc) 表示。合成標準不確定度為:

式中:U ———(擴展) 不確定度,mg/ L ;
Urel ———相對(擴展) 不確定度,%。
GSBZ 5009-88(6)批號0640107總鉻標準樣品的標準值為1100 mg/ L,不確定度U為0104 mg/ L,相對不確定度Urel=4%。表明只要總鉻的測定值落在0196 mg/ L~1104 mg/ L區間內,檢測質量就是受控的,檢測結果也是可接受的。變動性度量 s 可以選擇合成標準不確定度。如:

表1為總鉻標準樣品的標準值、不確定度和相對不確定度。

表1列出了標準樣品總鉻的相對不確定度,當總鉻考核樣品質量濃度在01490 mg/ L~2100 mg/ L時,相對不確定度Urel可取3%或4%。
四、實例
表2為6個實驗室同時測定總鉻的情況,經Grubbs檢驗無異常數據。其中用于能力驗證檢測的樣品由上級實驗室采用總鉻標準溶液配制。

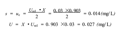
由表2可見,6個實驗室總鉻測定值的算術平均值 X 為 01903 mg/ L,平均值的標準差為01008mg/L(極差法[3]),變動性度量s若采用標準差表示,其能力比分數見表2中的Z1;變動性度量s若采用合成標準不確定度表示,其能力比分數見表2中的Z2。
以下為6個實驗室的變動性度量s和不確定度U的計算結果:

結果表明:總鉻標樣的質量濃度在1100 mg/L左右時,相對不確定度Urel可取3%。總鉻能力驗證配制樣品的測定均值為01903mg/L,不確定度為01027 mg/ L,濃度范圍為01876 mg/L~01930mg/L,表明6個實驗室的能力狀況和測定值都是令人滿意的。
變動性度量采用平均值的標準差表示時,實驗1和實驗室6的能力比分數| Z1|>2,表明實驗1的能力狀況有問題,實驗室6為不滿意。
變動性度量采用合成標準不確定度表示時,實驗室1和實驗室6的能力比分數|Z2|<2,能力狀況均可達到滿意。
五、結論
(1)在能力驗證報告中,指定值X一般采用標樣稀釋配制,其值是已知的,也可以采用能力驗證實驗室測定值的算術平均值,兩者相差不大。
(2)在能力驗證檢測報告中,變動性度量s推薦采用合成標準不確定度。其一當參加能力驗證檢測的實驗室較少( n≤9)時,變動性度量s采用標準差表示的誤差較大;其二如參加能力驗證檢測的實驗室較多,且同為一個行業系統時,由于不能排除實驗室之間部分串通,計算出的標準差可能偏小,易導致部分實驗室的Z比分數大于2,而被誤判為有問題或不滿。








當前所在頁面:















